lqg
LQG compensator
Syntax
K = lqg(P_aug, r) K = lqg(P, Qxu, Qwv) K = lqg(P, Qxu, Qwv, Qi, #dof)
Arguments
- P_aug
State space representation of the augmented plant (see: lqg2stan)
- r
1 by 2 row vector = (number of measurements, number of inputs) (dimension of the 2,2 part of
P_aug
)- P
State-space representation of the nominal plant (
nu
inputs,ny
outputs,nx
states).- Qxu
Symmetric
nx+nu
bynx+nu
weighting matrix.- Qwv
Symmetric
nx+ny
bynx+ny
covariance matrix.- Qi
Symmetric
ny
byny
weight for integral term.- #dof
Scalar with value in {1,2}, the degrees of freedom of the controller. The default value is 2.
- K
Linear LQG (H2) controller in state-space representation.
Description
Regulation around zero

- Syntax
K=lqg(P_aug,r)
Computes the linear optimal LQG (H2) controller for the "augmented" plant
P_aug
which can be generated by lqg2stan givent the nominal plant plantP
, the weighting matrixQxu
and the noise covariance matrixQwv
. - Syntax
K=lqg(P,Qxu,Qwv)
Computes the linear optimal LQG (H2) controller for the nominal plant
P
, the weighting matrixQxu
and the noise covariance matrixQwv
Regulation around a reference signal, Syntax K=lqg(P,Qxu,Qwv,Qi [,#dof])

Computes the linear optimal LQG (H2) reference tracking controller for the
plant P
, the weighting matrix
Qxu
and the noise covariance matrix
Qwv
Examples
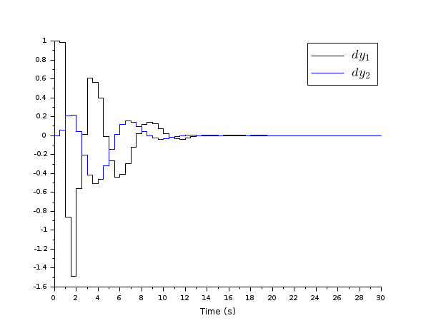
Assume the dynamical system formed by two masses connected by a spring and a damper:

A force (where e is a noise) is
applied to M, the deviations dy1 and
dy2 from equilibrium positions of the
masses are measured. These measures are subject to an additional
noise v.
A continuous time state space representation of this system is:
![\left\lbrace\begin{array}{l}
\dot{x}=\left[\begin{array}{llll}0&1&0&0\\ -k/M&-b/M&k/M&b/M\\
0&0&0&1\\ k/m&b/m&-k/m&-b/m \end{array}\right] x
+\left[\begin{array}{l}0\\ 1/M\\ 0\\ 0 \end{array}\right]
(\bar{u}+e)\\ \left[\begin{array}{l}dy_1\\
dy_2\end{array}\right]=\left[\begin{array}{llll}1&0&0&0\\
0&0&1&0 \end{array}\right] x +v \end{array}\right.](_LaTeX_lqg.xml_2.png)
![\text{Where }x=\left[\begin{array}{l}dy_1\\ \dot{dy_1}\\ dy_2\\
\dot{dy_2}\end{array}\right]](_LaTeX_lqg.xml_3.png)
The instructions below can be used to compute a LQG compensator of the discretized version of this dynamical system. e and v are discrete time white noises such as

The LQ cost is defined by

Regulation around zero
// Form the state space model M = 1; m = 0.2; k = 0.1; b = 0.004; A = [0 1 0 0 -k/M -b/M k/M b/M 0 0 0 1 k/m b/m -k/m -b/m]; B = [0; 1/M; 0; 0]; C = [1 0 0 0 //dy1 0 0 1 0];//dy2 //inputs u and e; outputs dy1 and dy2 P = syslin("c",A, B, C); // Discretize it dt=0.5; Pd=dscr(P, dt); // The noise variances Q_e=1; //additive input noise variance R_vv=0.0001*eye(2,2); //measurement noise variance Q_ww=Pd.B*Q_e*Pd.B'; //input noise adds to regular input u Qwv=blockdiag(Q_ww,R_vv); //The compensator weights Q_xx=diag([0.1 0 5 0]); //Weights on states R_uu = 0.3; //Weight on input Qxu=blockdiag(Q_xx,R_uu); //----syntax [K,X]=lqg(P,Qxu,Qwv)--- J=lqg(Pd,Qxu,Qwv); //----syntax [K,X]=lqg(P_aug,r)--- // Form standard LQG model [Paug,r]=lqg2stan(Pd,Qxu,Qwv); // Form standard LQG model J1=lqg(Paug,r); // Form the closed loop Sys=Pd/.(-J); // Compare real and Estimated states for initial state evolution t = 0:dt:30; // Simulate system evolution for initial state [1;0;0;0; y = flts(zeros(t),Sys,eye(8,1)); clf; plot2d(t',y') e=gce();e.children.polyline_style=2; L=legend(["$dy_1$","$dy_2$"]);L.font_size=4; xlabel('Time (s)')

Regulation around a reference signal, Syntax K=lqg(P,Qxu,Qwv,Qi [,#dof])
The purpose of the controller is here to assign dy2 using the measure of dy2.
M = 1; m = 0.2; k = 0.1; b = 0.004; A = [0 1 0 0 -k/M -b/M k/M b/M 0 0 0 1 k/m b/m -k/m -b/m]; B = [0; 1/M; 0; 0]; C = [1 0 0 0 //dy1 0 0 1 0];//dy2 //inputs u and e; outputs dy1 and dy2 P = syslin("c",A, B, C); // Discretize it dt=0.1; Pd=dscr(P, dt); // The noise variances Q_e=1; //additive input noise variance R_vv=0.0001; //measurement noise variance Q_ww=Pd.B*Q_e*Pd.B'; //input noise adds to regular input u Qwv=blockdiag(Q_ww,R_vv); //The compensator weights Q_xx=diag([0.1 0 1 0]); //Weights on states R_uu = 0.1; //Weight on input Qxu=blockdiag(Q_xx,R_uu); //Control of the second mass position (y2) Qi=50; J=lqg(Pd(2,:),Qxu,Qwv,Qi); H=lft([1;1]*Pd(2,:)*(-J),1); //step response t=0:dt:15; r=ones(t); dy2=flts(r,H); clf; subplot(211);plot(t',dy2');xlabel("Time");ylabel("dy2") u=flts([r;dy2],J); subplot(212);plot(t',u');xlabel("Time");ylabel("u")

Reference
Engineering and Scientific Computing with Scilab, Claude Gomez and al.,Springer Science+Business Media, LLC,1999, ISNB:978-1-4612-7204-5
See Also
History
Версия | Описание |
6.0 | lqg(P,Qxu,Qwv) and lqg(P,Qxu,Qwv,Qi,#dof) syntaxes added. |
Report an issue | ||
<< lqe | Linear Quadratic | lqg2stan >> |