Recherche Google
OMChroma User ManualPredefined Classes > Additive Synthesis > Additive Synthesys with ADD-3
page précédentepage suivante

Additive Synthesys with ADD-3

Tutorial ADD-3

Specific Slots

Name

Description

Default value

amp

Maximum Amplitude. Linear from >0.0 to 1000 or in dB from 0 to -∞ (see Tutorial Getting Started 02 - Amplitude and Internal Editor for more details)

-6.0

freq

(Minimum) current frequency [Hz]

440.0

aenv

Amplitude Envelope [GEN]

Instance: GEN07

fdev

(Minimum) frequency deviation [%]

0.06

vfq

Vibrato frequency [Hz]

1.0

fenv

Envelope of the frequency deviation [GEN]

Instance: GEN07

Class description

The ADD-3 Class realizes an Additive Synthesis with the following controls:

  • The main amplitude,
  • The oscillator's frequency,
  • The amplitude envelope by means of a GEN routine,
  • The vibrato range,
  • The vibrato speed,
  • The envelope of the vibrato range (or of the frequency deviation) by means of a GEN routine.
Patch description

The example A spreads the vibrato range from 1% to 100% of the frequency,

The example B spreads the vibrato speed from 1 to 16 Hz,

The example C collects 4 different frequency deviation envelopes with the same speed and range of the vibrato.

Common Red Patches

For the red patches Synt, C#ed and rnd see Appendix-A.

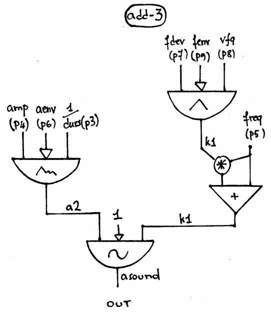
Inside the Class

Csound Orchestra of the ADD-3 Class.

instr 1

idur = p3

idurosc = 1/idur

iamp = (p4 > 0.0 ? (p4*0.001*0dbfs) : (ampdbfs (p4)))

ifq = p5

iaenv = p6

ivibamp = p7

ivibfq = p8

ifenv = p9

iaudiofun = 1

a2 poscil iamp, idurosc, iaenv

k1 poscil ivibamp, ivibfq, ifenv

k1 = (k1 * ifq) + ifq

asound poscil a2, k1, iaudiofun

out asound

endin

Flow chart
page précédentepage suivante
A propos...Réalisé avec Scenari