Recherche Google
OMChroma User ManualPredefined Classes > Additive Synthesis > Additive Synthesys with ADD-A1
page précédentepage suivante

Additive Synthesys with ADD-A1

Tutorial ADD-A1

Specific Slots

Name

Description

Default value

amp

Maximum Amplitude. Linear from >0.0 to 1000 or in dB from 0 to -∞ (see Tutorial Getting Started 02 - Amplitude and Internal Editor for more details)

-6.0

freq

(Minimum) current frequency [Hz]

440.0

aenv

Amplitude Envelope [GEN]

Instance: GEN07

fdev

(Minimum) frequency deviation [semitones]

1.0

fenv

Envelope of the frequency deviation [GEN]

Instance: GEN07

Class description

The ADD-A1 Class realizes an Additive Synthesis with the following controls:

  • The main amplitude,
  • The oscillator's frequency,
  • The amplitude envelope by means of a GEN routine,
  • The frequency deviation in semitones,
  • The envelope of frequency deviation by means of a GEN routine.
Patch description

The example A brings about a little portamento between two frequencies with an interval of 1, 2, 4, 7, 12 semitones.

The example B collects 4 different frequency deviation envelopes.

Common Red Patches

For the red patches Synt, C#ed and rnd see Appendix-A.

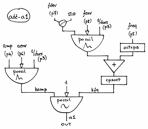
Inside the Class

Csound Orchestra of the ADD-A1 Class.

instr 1

idur = p3

idurosc = 1/idur

iamp = (p4 > 0.0 ? (p4*0.001*0dbfs) : (ampdbfs (p4)))

ifq = p5

ifroct = octcps (ifq)

iaenv = p6

iaudiofun = 1

idfq = p7 / 12.0

ifenv = p8

kfq1 poscil idfq, idurosc, ifenv

kfq = cpsoct (kfq1 + ifroct)

kamp poscil iamp, idurosc, iaenv

a1 poscil kamp, kfq, iaudiofun

out a1

endin

page précédentepage suivante
A propos...Réalisé avec Scenari